Je ne sais pas s’il s’agit d’une idée reçue, en tout cas c’est une affirmation que je lis assez souvent (notamment sur les réseaux sociaux ou des blogs) et il me semble important de clarifier les choses sur le sujet (en premier lieu pour la santé des personnes qui ont besoin de contrôler leur glycémie, mais aussi en prévention pour tous les autres !) (bon comme la dernière fois pour cet article sur les minéraux des eaux, vous pouvez passer si vous êtes pressé à la conclusion mais ce serait dommage de ne pas avoir toutes les explications qui y mènent ! 🙂
Fructose, glucose, saccharose… qu’est-ce qui diffère ?
Tout d’abord quelques petits rappels. On distingue les monosaccharides (une seule molécule de sucre : glucose, fructose, galactose, mannose…) des disaccharides (deux molécules reliées entre elles : saccharose (association de glucose + fructose), lactose (galactose + glucose), maltose (glucose + glucose), pour les plus connus).
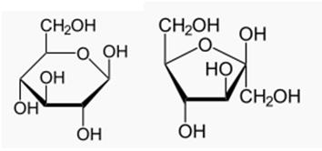
Parmi les monosaccharides, les différentes molécules se distinguent par leur configuration, autrement dit leur structure (ils ont la même formule chimique (Cn(H2O)n)). Ainsi le glucose, le fructose et le mannose ont tous la formule C6H1206 (6 atomes de carbone, 6 d’oxygène et 12 d’hydrogène), mais ils n’ont pas la même structure. Le glucose est par exemple un cycle à 6 sommets, alors que le fructose est un cycle à 5 sommets (voir formules ci-dessous).

Formules du glucose (à gauche) et du fructose (à droite)
Mais arrêtons-nous là pour la chimie 🙂

Le glucose est notre principale source d’énergie, et notre cerveau et les nerfs en ont besoin en permanence. Il va pouvoir être stocké – dans une certaine mesure – sous forme de glycogène dans le foie et les muscles (c’est ce pourquoi on recommand..ait (c’est moins le cas aujourd’hui) aux sportifs d’endurance de manger des glucides en quantité la veille d’une épreuve pour faire des stocks de glycogène qui servira de source d’énergie rapidement disponible). Dans le tissu adipeux, le glucose sera stocké en étant transformé en triglycérides.
Notre organisme étant particulièrement bien fait, il va pouvoir gérer les phases d’apport alimentaire versus de jeûne (entre les repas), grâce à deux hormones :
- l’insuline (hypoglycémiante), qui va aider le glucose à passer de la circulation sanguine vers les cellules des muscles et vers les cellules adipeuses. Au niveau du foie, elle active également la production de glycogène à partir du glucose.
- et le glucagon (hyperglycémiant) dont on parle moins mais tout aussi important, qui va permettre une libération de glucose dans le sang à partir du glycogène du foie (vous me suivez ?).
Cette fine régulation permet que nous ne soyons ni en hyperglycémie (au long cours risque de développement de diabète de type II) ni en hypoglycémie (risque de malaise, faiblesse…).
Le glucose alimentaire sera retrouvé directement ou indirectement (car l’hydrolyse de l’amidon donnera du glucose) en premier lieu dans tous les aliments riches en glucides (féculents, fruits, produits sucrés : gâteaux, glaces, confiseries…), mais aussi sous forme de sucre ajouté dans certains produits industriels normalement salés (soupes, plats cuisinés, sauces…).
Quant au fructose, il est retrouvé naturellement dans les fruits (avec d’autres sucres dont le glucose), le miel, les sirops d’agave, d’érable… (voir cet autre article indiquant pourquoi ces sirops sont à consommer avec modération), ou en tant que sucre ajouté via le saccharose (dimère glucose-fructose), les sirops de glucose-fructose et sirops de sucre inverti, largement utilisés dans certains produits industriels, ou les HFCS (sirops de maïs riches en fructose, très utilisés notamment aux Etats-Unis et largement suspectés de contribuer à l’épidémie d’obésité et maladies métaboliques associées).

A noter que le fructose a un pouvoir sucrant plus élevé que le saccharose (saveur sucrée 20 à 40 % plus forte que celle du sucre). Glucose et fructose apportent la même quantité d’énergie (4 kcal/g) mais vont être métabolisés différemment.

Assimilation des glucides :
Seuls les monosaccharides (un seul ose) peuvent être assimilés (i.e. absorbés) au niveau de l’intestin grêle (principal lieu des assimilations), et plus particulièrement de ses premières portions (duodénum et jéjunum). Les autres sucres (disaccharides, ou sucres plus complexes) doivent tout d’abord être hydrolysés en petites unités avant de pouvoir être assimilés.
Ainsi pour les polysaccharides (amidons par exemple), cette digestion va commencer dans la bouche avec l’amylase salivaire (d’où l’importance de la mastication que je rappelle souvent en consultation !) puis se poursuivra dans le tube digestif sous l’influence de l’amylase pancréatique. Les disaccharides, trisaccharides… seront eux hydrolysés par des enzymes à la surface des cellules de l’intestin grêle (les entérocytes).
La membrane des cellules de l’intestin étant constituée de lipides (et donc lipophile), les sucres ne peuvent pas la traverser et ont besoin de transporteurs. L’absorption des monosaccharides se fait ainsi via deux familles de transporteurs :
- L’une nécessitant de l’énergie (ATP) : famille des SGLT (serum glucose transporter), qui peuvent transporter le glucose mais aussi le galactose
- Et l’autre ne nécessitant pas d’énergie (on parle de diffusion facilitée) : famille des GLUT (14 transporteurs différents). Je ne rentrerai pas plus dans le détail car ceci est très complexe, mais pour résumer, ces transporteurs se trouvent à des endroits différents (intestin, cerveau, muscle strié, ou autres tissus) pour le transport du glucose (et parfois du fructose, comme le GLUT2). Le transporteur GLUT5 quant à lui est dédié à l’assimilation du fructose.
A noter qu’à forte dose, le fructose est mal assimilé, ce qui peut engendrer des troubles digestifs comme des diarrhées ou des gaz. D’ailleurs il n’est pas rare que les intestins sensibles ne supportent pas très bien le fructose.
Une fois dans le sang, le devenir du glucose va être régulé via l’insuline, comme indiqué précédemment, en lui permettant de rentrer dans les cellules (musculaires, hépatiques ou adipocytes).
Le fructose quant à lui a un métabolisme indépendant de l’insuline. Un premier point à souligner cependant : le fructose modifie effectivement peu la glycémie (j’insiste sur le PEU). En effet, le fructose induit une légère hausse de la glycémie, mais dans une moindre mesure par rapport au glucose (on dit qu’il a un index glycémique faible : 19 à 25 selon les sources, versus 100 pour le glucose). Mais pourquoi influe-t-il sur la glycémie (taux de glucose sanguin) alors qu’il s’agit de fructose me direz-vous ? et bien tout simplement car au moment de son assimilation, dans les cellules de la paroi intestinale, une partie du fructose assimilé est transformé en en glucose (qui va lui passer dans la circulation sanguine et faire augmenter la glycémie !).

Source Publication “Intestinal Fructose and Glucose Metabolism in Health and Disease” B.Merino.
Ici est représentée une cellule intestinale du grêle (entérocyte), avec côté villosités la lumière intestinale (lumen) avec son contenu, et de l’autre côté la circulation sanguine. On voit que dans la cellule intestinale, une partie du fructose assimilé peut être transformé en glucose avant de passer dans la circulation sanguine, ce qui explique que même le fructose peut influer sur la glycémie.
Une fois dans la circulation sanguine, le fructose doit tout d’abord être métabolisé par le foie avant de pouvoir être utilisé par l’organisme.
Le fructose a pendant un certain temps été conseillé aux diabétiques, justement en raison du fait qu’il sollicitait peu la production d’insuline. On a donc vu fleurir les sirops de fructose, fructose en poudre… supposés être une aide pour les personnes diabétiques. Et puis petit à petit, on est revenu sur cette idée. Voire même on l’accuse aujourd’hui d’être responsable de la résistance à l’insuline (autrement dit développement du diabète de type 2).
Ci-dessous une synthèse des différences entre le métabolisme du glucose versus fructose.

Mais revenons-en à nos fruits, et à notre question première : est-ce que les fruits influencent réellement peu la glycémie ? et bien la réponse est NON. Tout simplement car comme on peut le voir dans le tableau ci-dessous, tous les fruits contiennent, au-delà du fructose, une quantité non négligeable de glucose, voire pour certains tout autant, ou même davantage de glucose que de fructose ! Ce qui invalide doublement l’affirmation que « non, les fruits influent peu sur la glycémie car ils contiennent surtout du fructose » ! (doublement car comme mentionné plus haut, le fructose lui-même fait aussi augmenter légèrement la glycémie). On voit aussi que les fruits ne sont les seuls aliments à contenir du fructose (et du glucose). On en trouve également en petites quantités dans les légumes.


Lien entre consommation de fructose et le développement de certaines maladies ?
Mais alors quel est le problème avec le fructose ?
La hausse de la consommation de fructose constatée sur les dernières décennies (en particulier via les boissons sucrées – jus de fruits et sodas – mais aussi produits industriels contenant des sirops de glucose-fructose) a suscité des questionnements quant au possible lien avec le développement de certaines maladies, comme le diabète, l’obésité, ainsi que les troubles cardiovasculaires associés.
Selon les autorités de santé, une consommation de fructose supérieure à 70-100 g/j est susceptible de favoriser, davantage que le glucose :
- une résistance à l’insuline ou insulino-résistance au niveau du foie,
- une élévation du taux de triglycérides dans le sang (facteur de risque cardiovasculaire)
- une augmentation du stockage des graisses dans le foie (stéatose hépatique) (vous vous rappelez le fameux foie gras ? oui, oui, le même que celui des oies et canards !). De nombreux articles scientifiques décrivent le lien entre consommation excessive de fructose et le NASH (Non-alcoholic steatohepatitis ou stéatose hépatique non liée à l’alcool), même si on ne trouve pas d’études liées à la consommation de fruits à proprement parler (peut-être tout simplement car chez la plupart des gens, la consommation de fruits est raisonnée et n’excède pas 2 ou 3 fruits par jour).
Je ne m’étendrai pas davantage sur les méfaits du fructose car le sujet est vaste, mais vous avez quelques liens d’études scientifiques (en anglais) en fin de document, parmi les très nombreuses disponibles.
J’en viens donc à la conclusion…
Comme la plupart des autres aliments, les fruits doivent donc être consommés en quantité raisonnable (d’autant plus si vous avez déjà des troubles de la glycémie) :
- non seulement car dire que les fruits contiennent surtout du fructose est faux. Nous avons vu que la plupart des fruits contiennent une quantité non négligeable de glucose, voire plus de glucose que de fructose.
- Car même le fructose a un léger impact sur la glycémie, une partie du fructose étant transformée en glucose.
- Car l’excès de fructose n’est pas conseillé (tant pour le foie à moyen terme, que les maladies métaboliques à long terme ou l’intestin à court terme).
C’est entre autres pour ces raisons que je ne suis pas fan des mono-diètes de fruits (dont le principe est de ne consommer que des fruits (une ou plusieurs variétés) sur un ou plusieurs jours, l’objectif des mono diètes étant de faciliter la digestion et potentiellement soutenir les processus de détoxification). Si vous souhaitez le bénéfice d’une mono-diète, optez pour une mono-diète de légumes (là encore si votre intestin le permet !) et de préférence faites-vous guider ! Dans la même lignée, je considère le régime frugivore comme une aberration fantaisiste.
Et rappelez-vous : « De tout, un peu ! » 🙂
Liens si vous souhaitez aller plus loin concernant les méfaits d’une consommation excessive de fructose :
https://pubmed.ncbi.nlm.nih.gov/20086073/

Laisser un commentaire